Athletes have become increasingly familiar with the concepts of VO2max training over the past couple years. The basic conversation level I’ve been hearing recently is incredibly nuanced compared to when I started learning about the physiology behind VO2max and aerobic performance.
Athletes are able to choose from a wide selection of workout platforms and protocols, to find the training practices that work best for them individually. Without as much need for lab testing or standard boilerplate training plans.
The research of course lags the best practices used by athletes and coaches in real-world training environments. More recent protocols including hard-start and intermittent intervals are starting to find their way into popular training plans and research, because they have worked in the field first.
Now it’s up to us to figure out why and how exactly these workouts work! What are the mechanisms that contribute to improved performances? And how can we continue to optimize individualized interval prescription.
My understanding about the physiological underpinnings of ‘VO2max’ has progressed. So here are some of my current thoughts and questions on the topic of VO2max trainability, time near VO2max, hard-start and intermittent intervals, and adaptations toward capacity and efficiency.
Physiological Limiters to VO2max
The classic view of aerobic capacity is that VO2max is primarily limited by central cardiovascular factors that constrain oxygen (O2) delivery (Lundby et al, 2017). This will be a brief summary of the literature and physiology that premises one of the underlying assumptions to most of the current interval training research.
The potential factors that contribute to VO2max can be conceptualized with the deceptively simple Fick equation.
Fick Equation
V̇O2 = Q̇ · (Ca-vO2)
Q̇ = HR · SV
V̇O2 = HR · SV · (Ca-vO2)
• V̇O2 – maximal rate of oxygen uptake; maximal aerobic capacity
• Q̇ – cardiac output, the product of heart rate (HR) and stroke volume (SV); how fast the heart beats and how much it pumps on each stroke
• Ca-vO2 – arteriovenous O2 difference; the difference in oxygen content of arterial and mixed venous blood
In the context of VO2max, the components of the Fick equation are interrelated such that the maximal attainable rate of O2 uptake will be most limited by the first of these factors to reach a ceiling.
Think of when you might have tried to perform high intensity intervals when fatigued. Maybe you had difficulty raising your heart rate as high as usual? Something else was probably limiting your metabolic capacity, meaning something else failed first before heart rate could (or needed to) approach max.
Empirical literature suggests that at VO2max, the O2 uptake capacity of muscle mitochondria (mV̇O2) contributing to CvO2 exceeds the O2 delivery capacity determined by Q̇ · CaO2 (Lundby et al, 2017). This is related to why we are able to push more resistance during one-leg exercises, compared to what both legs can do together in equivalent two-leg exercise.
Historically much of the literature suggests that cardiac output, and more specifically stroke volume (SV) is the primary limiting factor, and is often one of the earliest adaptations to occur with introduction of training. While other structural adaptations occur over weeks and months (Lundby et al, 2017).

(Joyner & Dominelli, 2020)
(Lundby et al, 2017)
These findings may be more true for less trained populations. Since well-trained athletes will already have benefited from these initial adaptations. Experienced trainers will continue to accumulate adaptations to both O2 delivery and O2 extraction components over years of training. And it typically takes more and more volume and intensity to realize those marginal gains.
Suffice to say that while the ‘classic view’ is that O2 delivery factors limit VO2max trainability, there is some extent of individual variability in the training response, and it is highly related to your existing training status (Skovereng et al, 2018).
It is also important to note that VO2max doesn’t necessarily limit performance. Once you look at similar athletes within a homogenous fitness group, fractional utilization of VO2max at anaerobic threshold (FTP/CP, etc.), O2 extraction fraction, and cycling economy/gross efficiency are equally if not more important than VO2max.
As the quote goes, often attributed to Dr. Andy Coggan:
A high VO2max is necessary, but not sufficient for endurance performance
What we can say is that improving your own VO2max and your performance will most likely require improving whatever your specific limiters are.
Your specific limiter might be peripheral somewhere in the muscle fibers, or central cardiovascular structure/hemodynamics, as above. That will depend primarily on your prior training history and current physiological fitness (eg. Skovereng et al, 2018), and of course heavily depend genetic and epigenetic/environmental factors, etc.
With that being said, there are some well established correlations between metabolic training stimulus and improvements to VO2max and other performance outcomes.
Time Near VO2max as a Training Target
Last time I investigated this topic, I started with the ubiquitous assumption that accumulating time around 90% VO2max elicits the greatest improvements to VO2max and aerobic performance outcomes (max aerobic power, TT performance, etc).
I was inspired to go digging on this topic a bit recently. The current paradigm of accumulating time near VO2max is based on important empirical findings that suggest achieving a relatively high metabolic intensity (~75-100% VO2max) is important for eliciting positive adaptations to aerobic capacity.
Well-trained athletes may need to accumulate more time at higher intensity closer to VO2max (Wenger & Bell, 1986; Midgley et al, 2006), related to the diminishing returns of adaptations, as mentioned above.

(Turnes et al, 2016)
(Buchheit & Laursen, 2013)
(Midgley et al, 2006)
(Wenger & Bell, 1986)
This is one of those theories on which much of the current high intensity interval training literature is premised. And for good reason. There are robust and extensive data to support this relationship. However:
The correlation between time near VO2max and performance improvements is far from fully mechanistically elucidated.
The empirical evidence for time near VO2max is robust for ‘traditional VO2max’ interval training. Which might look something like 4x5min severe intensity intervals, somewhere above FTP/CP/”threshold”. What I would precisely call a continuous evenly-paced long interval workout.
In these classic workouts there is usually a tight relationship between mechanical workload (external power output) and metabolic intensity (internal VO2, or relative %VO2max). Meaning workload and intensity cannot be separated, nor is there any particular need to, when considering adaptive benefit.
However as training protocol have progressed recently, allowing us to manipulate workload and intensity semi-independently, we have begun to glimpse how there might be more to tease out in this relationship than just maximizing time near VO2max.
The goal now is to investigate whether mechanical workload and metabolic intensity may be independently related to differences in aerobic adaptation.
Hard-Start and Intermittent Intervals to Maximize Time Near VO2max
The two workout protocol I have been most interested in for manipulating time near VO2max are hard-start (alternately called fast-start or all-out) and intermittent intervals (microburst, Tabata, Billat, or repeat sprint training: RST).
They pose an interesting comparison. Hard-start intervals elicit a higher metabolic intensity at a lower mechanical workload. While intermittent intervals allow a higher mechanical workload and a higher metabolic intensity. Both compared to ‘traditional’ VO2max workouts.
Let’s talk about hard-start intervals first.
Hard-Start VO2max Intervals
Hard-start intervals use an initial hard effort at a power output above what would be sustainable for the intended interval duration, to enhance the response of oxidative metabolism – faster VO2 onset kinetics – in order to meet the sudden elevated oxygen demand being imposed (Jones et al, 2008; Bailey et al, 2011; Billat et al, 2013; Lisbôa et al, 2015; Ronnestad et al, 2019).

Hard-start protocol can be applied to either continuous or intermittent interval training. Seen here combined into an ‘iso-effort’ mixed-protocol workout.
The goal of this workout was to maximize the effort during each interval, blinded to any power or HR targets. Additional instructions for the hard-start component was to start each interval harder than the athlete thought they would be able to maintain, to simulate a race breakaway situation. Before settling into the maximal sustainable effort for the remaining interval duration.
As the athlete rapidly approaches VO2max, power is decreased to allow the athlete to maintain the elevated VO2 for the entire remaining interval duration, without reaching task failure. Getting to VO2max quicker means greater time accumulated near VO2max for the same total interval duration, and for the same or less total work.

(Brock et al, 2018)
The effect of a hard-start on oxygen uptake is well illustrated in this study, with a representative tracing of VO2 in response to different pacing strategies during a self-paced TT. Open circles show VO2 from an evenly-paced condition. Closed circles show VO2 with a 12s all-out start.
(Zadow et al, 2015)
Description of proposed mechanisms behind hard-start effect on metabolic intensity.
In this way, studies investigating hard-start pacing strategies have shown that metabolic intensity (time near VO2max) can be increased independently from mechanical workload (power output) within an interval workout (Turnes et al, 2014; Zadow et al, 2015; Lisbôa et al, 2019; Bossi et al, 2020).
Unfortunately as far as I’m aware, this has only been demonstrated in the acute response to a workout. And no studies have yet demonstrated beneficial adaptations to a hard-start training intervention over time. Therefore:
The current recommendation for a hard-start strategy is only indirectly based on the acute response of greater time accumulated near VO2max.
Further research is needed to establish whether a hard-start training intervention will produce the expected adaptations over the long term. I know this is a question many research groups are interested in, and I hope we’ll see some longitudinal studies published in the near future!
Intermittent VO2max Intervals
The second protocol that I am most interested in are intermittent intervals. These workouts split a single VO2max interval into a set of short work/rest microbursts. such as 30/15s popularized by Prof. Rønnestad, or earlier Tabata 20/10s or Billat 30/30s. Similar intermittent sets with shorter work and longer rest intervals (eg. 10/20s or 10/60s) may also be called ‘repeat sprint training‘.

The same hard-start mixed-protocol workout as above.
Note that average power during the intermittent work intervals are greater than the continuous interval, despite all intervals being performed at maximum ‘iso-effort’ relative intensity.
Like hard-starts, intermittent intervals also have the athlete perform supra-VO2max efforts for these short, intense work reps. These are interspersed with equally brief rests that intentionally prevent sufficient recovery, and force VO2 to remain elevated.
The accumulation of these short work intervals can be performed at a power output higher than if the equivalent work duration was performed as a single continuous interval.
This higher workload elicits more rapid VO2 onset kinetics and higher sustainable metabolic intensity. VO2, Q̇, ventilation, etc. remain elevated through the brief rest intervals, meaning the effective training stimulus is sustained for closer to the full set duration, rather than just the work duration.
For example, in Rønnestad’s protocol of 3 sets of 13x 30/15s, the work sets add up to ~29min (3x 13x 30+15s) of total ‘intensity time’, compared to 19.5min (3x 13x 30s) of ‘work time’. Whereas the equivalent ‘classic’ 4x5min workout with 20min of work time, might only add a handful of seconds after each interval to intensity time.

(based on protocol reported in Ronnestad et al, 2020)
Rønnestad’s group in Norway have investigated these ‘short’ intermittent intervals over the past few years in well-trained and elite endurance athletes.
They have demonstrated superior acute responses in short intervals compared to long (continuous 5min) intervals. Not only measured by greater time near VO2max and HRmax, but also from superior blood hormone response, and at least no difference in genetic signalling. Which gives stronger evidence for a positive training effect (Almquist et al, 2020).
It should be pointed out that the interval protocols used in these studies are not work-matched. They are ‘iso-effort‘, or ‘effort-matched’. The subjects in both groups “were instructed to perform intervals with their maximal sustainable work intensity, aiming to perform highest possible average power output during each interval session” (Almquist et al, 2020).
In this way power was an outcome measure for what ended up being equally hard workouts. As the authors note, this better reflects real world training, where an interval workout is typically performed as hard as possible, or close to it.
As you might expect, the intermittent protocol allowed for greater average power and total mechanical work performed over the same work duration, and at the same perceived effort.
These findings show that an intermittent VO2max protocol can acutely prolong performance at higher mechanical workload and elicit greater metabolic intensity, compared to a ‘classic’ continuous VO2max workout.
Critically, they have also demonstrated chronic improvements to performance and physiological outcomes with short intervals over 10 weeks in well-trained cyclists (Ronnestad et al, 2015) and 3 weeks in elite cyclsts (Ronnestad et al, 2020). Dr. Steven Cheung just posted a much more concise review of this recent article over at Pezcyclingnews
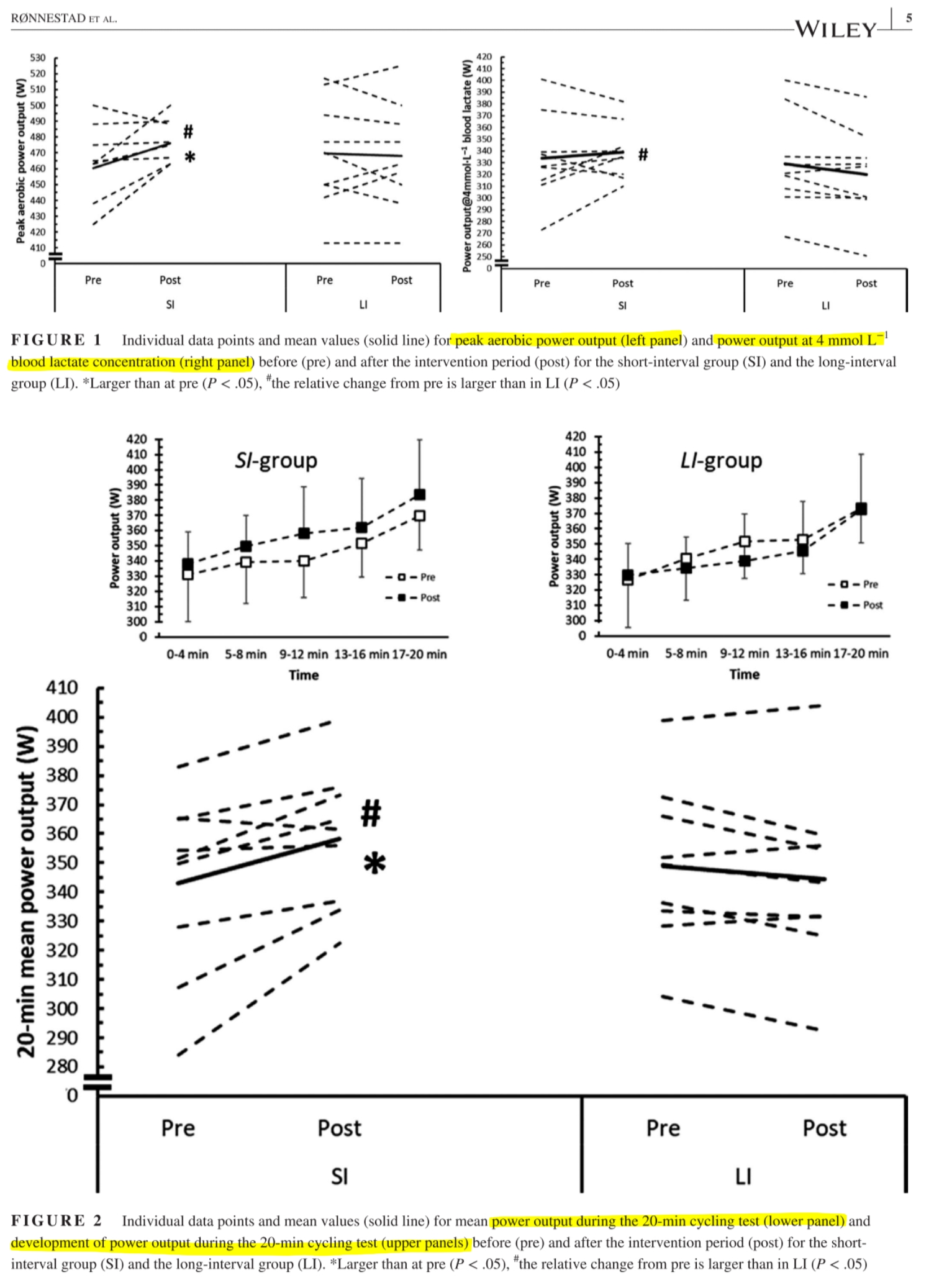
In the more recent paper in elite cyclists (VO2max 73 ± 4 mL/kg/min) the short interval (SI) group showed greater improvements in VO2max, Wmax (ie. max aerobic power), submaximal efficiency (power output and fractional utilization of VO2max at 4mmol, a proxy for lactate threshold), and power over a 20min time trial. Compared to the long interval (LI) group.
We could speculate that these elite, experienced athletes would have already accrued much of the early gains from training adaptations. They may have seen the dramatic response shown here due to the novelty of the training protocol, and the ability to accumulate greater training load with no increase in volume. Less experienced athletes may see different results.
With intermittent intervals, we have direct evidence of longitudinal performance improvements compared to traditional continuous intervals in highly trained endurance athletes.
Speculating on Trainability of Capacity, Efficiency, and VLamax
This section might feel a bit scattered. These are some of the ideas currently cycling around my brain. Hopefully they coalesce into something more coherent, and inspire some ideas for you to experiment with!
To pose some final questions, considering what we now know about metabolic intensity and mechanical workload, and what you know about your own performance strengths & limiters:
How would you expect to respond to hard-start or intermittent interval training?
How might aerobic capacity and efficiency respond to each protocol? How might they drive different peripheral or central adaptations? How would VLamax respond? Are all VO2 equal during ‘intensity time’ vs ‘work time’, in terms of representing a specific training stimulus?
Briefly, Ronnestad et al (2020) showed that aerobic capacity (VO2max) and peak power output (Wmax/MAP and 20min power) all improved with intermittent interval training. They also showed improvements to submaximal efficiency with a greater fractional utilization of VO2max (%VO2max) and power output at 4mmol blood lactate (BLa).
This is good evidence that these interval workouts can enhance both capacity and efficiency for these tested outcome measures.
These data may also imply that VLamax was decreased, based on higher power at 4mmol BLa and higher power relative to BLa at both max and submax workloads. [edit: Sebastian Weber of INSCYD suggests in the comments below that the changes at max and submax intensity can be explained by the change in VO2max alone.
Blood lactate accumulation or ‘tolerance’ also seems to have increased, suggesting a combination of mechanisms is at work behind La production and clearance.
Were these improvements due to higher workloads recruiting more muscle fiber mass, greater proportion of faster twitch fibers, and stimulating more peripheral adaptations toward enhanced O2 uptake?
Or were they caused by central adaptations and improved O2 delivery elicited by the enhanced metabolic intensity?? What would efficiency look like in terms of fatigue resistance over longer durations, say at 60min or 3+ hrs?
Hard-start intervals are even less well understood. I would expect the hard-start to recruit more muscle mass (I haven’t even got into EMG signals) and more ‘faster fibers‘ at the start of the interval. Leading to a rapid depletion of ‘anaerobic resources’ in those fibers and accumulation of ‘metabolic milieu’ within the working muscle.
As the workload is decreased in these intervals, are those fatigued fibers still recruited to produce power with whatever aerobic function they have left? Or is the ‘excess’ systemic VO2 we measure during hard-start intervals going toward restoring homeostasis within the working muscle and elsewhere in the body, without actually contributing to mechanical power output and locomotion?
Does that make a difference to the adaptive benefit of time near VO2max?
I might speculate that our central cardiovascular system doesn’t care where the O2 demand is coming from. So perhaps central adaptations in hard-start protocol might persist despite lower workloads. However could this come at the trade-off of diminished peripheral adaptations at the working muscle, with less specific work being performed?
For example, could depleting those anaerobic pathways early in the hard-start interval tend to cause VLamax to increase, as glycolysis will be preferred by faster fibers to rapidly restore homeostasis? Whereas more gradual, progressive fiber recruitment in an evenly-paced interval may allow greater fat oxidation across more fibers as they begin to contribute directly to mechanical locomotion?
Conclusions & Future Research Directions
Hard-start and intermittent intervals give us new ways to explore mechanisms behind individual response to exercise and training adaptations. And a couple of shiny new tools for coaches and athletes to optimize their own training and improve real world performances. This should be our ultimate goal.
I would be interested in seeing future research continue to manipulate metabolic intensity and mechanical workload to optimize the desired training effect.
For example, maybe I can mix my training stimuli by using an intermittent 30/15s workout to hammer the legs early in the week, then hard-start continuous intervals to add extra focus on the cardiovascular system while minimizing additional fatigue on the legs.
I am also more interested to think about and explore the effect of various workout protocol on VLamax and FATmax, and how they relate to aerobic capacity and efficiency. Keep these terms in mind. They will come up again in future articles.
There are a lot of unanswered questions currently on the table. Obviously I’m still thinking through everything and trying to piece together a story of what might be going on behind the scenes, based on the available literature.
And I’m very curious what you think. What are some missing puzzle pieces I’ve overlooked? Let’s keep the discussion going.





Great article Jem. I had an interesting experience combining intermittent and hard start. I am a classic time trialler and found I could never complete 30/15 sessions at prescribed intensity – the only effective session is one that is completed. But by introducing a hard start and allowing power to erode on later intervals I was able to keep my HR where it was supposed to be. I surmised that in my case it was peripheral adaptations that were lacking/limiting.
regards
David
Get Outlook for iOS
LikeLike
Thanks David. Very interesting! Possibly reflects a peripheral limiter related to your training history and phenotype as a TT’er.
With a relatively higher FTP/CP closer to your VO2max, you would find it more difficult to hit the ‘classic’ VO2max power targets of 120% threshold. That workload might send you above MAP, therefore you’d reach task failure before reaching VO2max and completing the workout as prescribed.
That’s not a bad thing! If anything, it hopefully means you’re more aerobically fit with more type I ‘slower’ muscle fibers. It just means the prescribed intensity was inappropriate for your phenotype.
That’s partly why I prefer Ronnestad’s idea of ‘iso-effort’ and simply trying to maximize your effort across the workout, with no prescriptive power targets. Simple instructions, difficult and painful to execute!
LikeLike
Interesting to see what effect on VLamax with 30/15’s and fast start efforts. As vo2max only increased marginally any large improvements at submaximal power outputs will be largely due to decrease in VLaMax. A recent study showed a reduction in VLaMax in the group that only performed 30” wingates with 4.5’ relief @50w. The heavy intensity group performed effectively SST endurance steady efforts @ 2mmol/l and didn’t change VLaMax. These shifts in VLaMax are effectively paradoxical as we would expect the opposite. Although this in relatively untrained individuals. Interestingly both groups increased VO2max.
I’m not surprised by David Lloyd’s comments above as athletes who train for mostly TT’s usually have a low VLaMax and high AT compared to vo2max. This also manifests itself with rapid increases in BLa above said threshold approaching maximal lactate values and much greater use of the anaerobic speed reserve and thus less tolerance to high intensity compared to other riders with relatively higher VLaMax.
LikeLike
Huh, that is a bit unexpected to see decreased VLamax with SIT training compared to SST. At least goes against the empirical findings commonly described by INSCYD. Would you mind linking to that study? Would be interested to read.
I wish Ronnestad reported RER during pre- and post-tests to add a perspective on substrate utilization in addition to the gross BLa accumulation and performance at 4mmol. Might offer some insight into relative glycolytic/fermentative activity vs fat oxidation contributing at max & submax workloads.
I also think muscle oxygenation could be used to better evaluate what’s going on at the local muscle. Possibly even as a proxy or alternative measure of VLamax. I’m looking for literature on that topic for another project currently in the works.
LikeLike
The adaptations to VLamax here make sense. Especially the SST training – no change in VLamax…well actually we have seen in a project in 2004-2006 in some cases even an increase in VLamax with this kind of training in some athletes.
Also the wingate can make sense…
It depends on what the pre-intervention situation of the subjects was
LikeLike
Hello, it’s a bit counterintuitive to me since high intensity intervals like a Wingate would have stimulated hence trained the glycolytic pathway and then rise VLaMax, can you give us more insights on this please ?
(to decrease VLaMax, the coach who sold the INSCYD test advices to avoid surges, which sounded logical to me)
And by SST you mean sweet spot right aka medio aka between thresholds ? because, same here, I was advised to do some medio work at low cadence to lower VLaMax
Danke
LikeLike
Do you mean this study ?
<< Comparison of SIT and ET revealed no significant differences for Lamax, O2max or PMLSS after six weeks. The control group remained stable in all parameters. In both exercising groups there was a significant improvement of the calculated PMLSS due to different influences of Lamax and O2ma >>
Click to access JBS-36-78906.pdf
LikeLike
Well one thing with this study is that the protocol isnt validated, and some of the data within the 15s isnt sound
Beside this: for VLamax it all depends on where you are coming from.
When you take highly enduracne trained athletes with low VLamax, there is a fair chance that 30s all out efforts increase glycoltic capacitiy
When you do the same with a 100m track runner, there might be a fair chance to decrease it
LikeLike
Yes this is the study – hauser
LikeLike
The pre-post effects on % use of VO2max at 4mmol & 20min efforts, higher lactate concentration etc. in the Ronnestad study are most likely not due a significant change in VLamax. The effects here can be only explained by VO2max changes (and with that higher power / longer test duration
LikeLike
Thanks Sebastian. I have been using ‘VLamax’ as a proxy for something like ‘how much glycolytic, and specifically fermentative (lactate producing) metabolism is contributing at a given intensity or workload’. But that might be a mis-use of the term?
Now I’m thinking about how I might expect VLamax (literally peak rate of BLa accumulation) to respond if there was a magical increase in absolute fat oxidation capacity leading to increased VO2max and greater workload at any given %VO2max, with no change to abs glycolytic capacity 🤔. With the same ability to metabolise glucose and greater ability to oxidize pyruvate, less La- and BLa would accumulate, meaning lower VLa(submax) and VLamax?
As for the Ronnestad data, my thinking is: The SI group had an increased PO, %VO2max, and abs VO2 (4.54 to 4.82 L/min) at 4mmol. Economy was decreased from 73.6 to 70.4 W/L/min at 4mmol and likewise marginally decreased from 67.2 to 66.6 W/L/min at abs 275 W. I interpret this as suggesting fat oxidation increased more relative to glycolytic contribution, meaning higher absolute O2 energy expenditure and greater La- buffering capacity across submax intensities?
While higher BLa after maximal effort (ramp test and 20min TT) can be related to higher workload and longer test duration, as you say. And enhanced “tolerance” (whatever that means mechanistically) as the authors suggest. Although W/BLa, for whatever that metric is worth, shows a decline in the SI group for the 20min TT (64 to 48 W/BLa for [La-]mean and 37 to 33.5 W/BLa for [La-]end), also suggesting lower BLa production and/or clearance rates.
I guess my question is: can the apparent enhanced substrate efficiency (greater relative contribution from fat oxidation) at higher abs workloads and relative intensities be explained by increased VO2max alone, or does it also imply VLa(submax) and VLamax will have changed concomitantly?
Appreciate any insight you could offer on this! Like I said, the ideas are a bit handwavy right now 😅
LikeLike
yepp, my point was that those marginal changes can be all explained only by change in VO2max alone.
I don’t agree to the efficiency idea here!
The O2 vs Watt relation at 275W didnt change. The relation at end of VO2max isnt a efficiency relation!!! It would be if we would assume that all the energy at the end of the test is covered aerobically – which it isn’t and this is proofed by lactate conc > rest.
Therefore: at the end of exhaustive exercise a higher /lower VO2 for same power can be a shift in energy contribution not efficiency.
And again there is no change at 275W
Also that would not be expected: efficiency in cycling actually isnt a thing! there are not measureable differences (see also Jim Martins work for comparison)
LikeLike
Yup, I’m seeing your point. Negligible/no change in Economy at the end of the ramp test and at submax 275 W suggests the increase in Wmax can be explained by the increase in VO2max alone.
The only significant reported decrease in Economy is at submax 4mmol, which can also be explained by increased absolute VO2, at the same net BLa accumulation.
How would you expect a low-VLamax climber to respond to hard-start interval training compared to ‘classic’ evenly-paced VO2max training? Would you recommend one or the other if they did not want to increase their VLamax further?
I’ll have to listen to your recent interview on Fast Talk again to see if you touched on this when you were talking about ‘all-out’ VO2max intervals. I was a little bit confused on how the term ‘all-out’ was being used. It sounded like at first Trevor was using all-out to mean ‘maximal effort’, while you were talking about a truely all-out sprint-and-hold-on, takes 20+ min to fully recover from, type effort? I’ve done enough 3min all-out CP tests that I couldn’t imagine doing that for 5min once, nevermind for a workout!
huh. I’m stumped 🤔. Is the rationale that any change in gross efficiency can be explained by a change in substrate use? Or that GE is not trainable? Or…?
I’ll read up on Jim Martin’s work.
[edit: ok, just starting to read. I thought metabolic efficiency was far more trainable for some reason. Seems like it’s not. Gonna have to re-think about metabolic capacity, substrate efficiency, and VLamax]
I could ask you questions all day, but I’ll cut myself off here for now 😁
Thanks for your responses!
LikeLike
“ How would you expect a low-VLamax climber to respond to hard-start interval training compared to ‘classic’ evenly-paced VO2max training? Would you recommend one or the other if they did not want to increase their VLamax further?”
I would say it highly depends on the duration of the work interval and duration of rest. With super short intervals like 15s or 30s your fibers can rely on myoglobin O2 storage versus not in the case of a long VO2max interval. IMHO the debate around the fast start or not of a HIIT Interval is
1) mostly whether reaching faster a high VO2 has a significative impact on adaptations (I am not super convinced by this, I see marginal difference in my opinion)
2) and it might be good for a cyclist to repeat short bouts with a fast start since it’s closer to the sport reality to recruit and train FT fibers
3) eventually maybe greater stimulus for the mental aspect of things
LikeLike
The mental and sport-specific aspects of hard-starts are definitely important. Good idea that some kind of subjective enjoyment scale would be important to monitor as well as RPE for a study design.
Some anedcotes:
One athlete I train with loves hard-start. He feels like he’s able to hold on longer than he think’s he will be able to at the start of the workout. Like, he starts harder than he can sustain, but finds he doesn’t need to back off as much as he thinks.
Although on the other hand he finds them so fatiguing that he often needs a few days recovery. So we have discussed: if/when he is time-limited, or it is otherwise appropriate to do only 1/week hard workout, he’ll do the hard-starts. But if we have time to maximize training load for the microcycle he’ll do 2/wk evenly-paced or a different protocol.
Another athlete hates hard-start, because he finds it very de-motivating to see lower power numbers in the back half of the interval, compared to how hard the effort feels. He loves intermittent intervals because the avg power is higher and he feels like he responds to that better. He’s also a CX & MTB racer, so that might be more sport specific for him.
LikeLike
In my case recently i have done my best 5′ at 403w after some week of sit,sprint and some LI HIIT, but other side i was hable to do hold 310-315w for only 20-25′ when before this block i hold 35′ at 314w including only long ride and some tempo/sweetspot at low cadence and some vo2max effort very occasionaly. I have the typical feels of accumulate to much lactate in the legs after like 10-12′ at my old threshold, now i set it at 290-300w
LikeLike
Hello, sorry I don’t understand what has been key for you to have such substantial progress in your 5 min power. Would you be kind enough to precise ?
LikeLike
Andrea – would an increase in VLaMax increase mmp5’ which would also drop AT if vo2max stays the same or is this may be due to fatigue after your hard block? Be interesting to see what Seb thinks regarding this one.
LikeLike
I have just read through the text … Interesting & sounds reasonable … But there is a big BUT for me…. Assuming i do not have heart (or any other) conditions …. Is it safe enough to push yourself to the limit (95-100% of max HR) and stay there for some 20min+ all together? Do not get me wrong, i am not a “disabled”. Although i am nearly 52yo & 75kg, i am still able to produce 410 in a 1 min increment step test and some 325-330 for 20 min going uphill. Have you come accross a study that looks at how HIIT influence heart and CVS health .. there was an article on cycling weekly where they mentioned how may endurance athletes in the UK have died from cardiac arrest or similar heart conditions . They mentioned that in some cases HIIT could be a reason for myocardial acidification and God knows whatever else!
LikeLike
Hi Mikheev, Thanks for bringing up heart health & aging. Unfortunately I have to say I haven’t looked into the effect of training on cardiovascular health/disease and aging with any detail. So I can’t comment with any expertise.
For anyone who has the question of whether a training intervention will be safe for you, ask your doctor first.
Generally high intensity interval training should be safe for healthy individuals, but as we unfortunately keep seeing in young, apparently healthy, very fit bike racers who have cardiovascular events in races, it should be a consideration for every one of us.
Age above ~40 yrs can be an increased risk on paper, and a novice to any new training intervention regardless of age should also realize they need to progress their training volume and intensity from a reasonable starting point. Progress from some lower volume of time near HRmax and increase as your body gets used to the intensity.
LikeLike
Very interesting and great infos/thinking. Thanks Jem!
Keep these posts going 🙂
Regarding Intermittent (30s/15s) and their impact on VLamax,
could there be a significant improvement in lactate shuttling/lactate recycling?
The high intensities in the ON part (generating lactate)
Immediately followed by the OFF part, very short, with lactate flooding in the metabolic milieu, prompting the muscles to use the lactate
This cycle is repeated multiple times over and over (rinse and repeat)
I think this 30s/15s protocol could be making lactate the most readily available energy source to complete the 9.5min blocks.
And becoming very good at recycling lactate probably has an impact on VLamax?
It’s hard to write down this stuff, seems simple in my mind but weak in words haha (french speaker here)
LikeLike
Thanks Julien, you articulated the idea well.
It seems plausible to me. BLa appears to accumulate at the same per-interval rate in the 5min and 30/15s (see Table 2, Almquist et al, 2020) despite the higher avg power, greater total work, and longer active ‘intensity time’ of the 30/15 sets. So clearly the flux of La- production and combustion (clearance) is quite different between the two protocols.
Take a look at what Sebastian Weber posted above. He suggests the performance improvements can be explained by the increase in VO2max alone without VLamax necessarily changed.
I’m still curious how to fit some pieces together: we see VO2max and % VO2max at 4mmol (proxy for CP/LT/”anaerobic threshold”) increase. Meaning anaerobic threshold is closer to VO2max and less time is spent working above threshold during the ramp test. This can also explain the increase in Wmax (+3.5%) marginally higher relative to the increase in VO2max (+2.4%) at the end of the ramp test. I guess we still can’t say whether W’/”work capacity above threshold” has changed, but wouldn’t we usually expect to see a decrease in W’ with an increase in CP, especially in highly trained endurance athletes?
LikeLike
Great writing, but a big question mark on the Ronnestad paper and the final conclusions. The LI group trained for 3 weeks at 79% average of Wmax, the SI at 94%. The LI group has basically done nothing more than a threshold workout for 3 weeks (those are elite-level cyclists according to the authors, therefore I assume a fractional utilization at threshold around 80% or a bit more). Ofc I won’t see the same results. Sorry but to me their study conclusions do not stand up because there’s no comparison between the interventions at all.
LikeLike
That’s probably fair, I think it’s a criticism that’s been levelled before on their work. Take a look at a number of the other studies in the same series from Ronnestad’s group, if you haven’t already. There might be bits and pieces that flesh out the narrative a bit.
LikeLike
Intereesting read
LikeLike